Driven by the overuse of antimicrobials, pathogens are quickly building up resistances to once-successful treatments. It’s estimated that antimicrobial-resistant infections killed more than 1 million people worldwide in 2019, according to the World Health Organization.
“There are worries that at the rate things are going, in perhaps 20 or 30 years, few of our drugs will be effective at all,” said Xuefei Huang, a Michigan State University Research Foundation Professor in the departments of Chemistry and Biomedical Engineering.
“This would bring us back to the pre-antibiotic age.”
Now, in a new "Nature Communications" study, Huang and his collaborators have reported a breakthrough that will help tackle this global threat head-on. Specifically, the team has created a promising vaccine candidate for antibiotic-resistant bacteria.
Bacterial vaccines, along with antibiotics, are a crucial tool in the fight against deadly microbes.
In the latest paper, Huang announced several discoveries that will help the development of a carbohydrate-based vaccine for infections caused by Staphylococcus aureus and its “superbug” relative methicillin-resistant Staphylococcus aureus, or MRSA.
Staph aureus, or staph, and MRSA are among the most prevalent causes of bacterial infections.
Using an innovative delivery platform created by the Huang group at MSU, the team’s preclinical vaccine formulation offered high levels of immunity from lethal levels of staph and MRSA in animal trials.
With this work, Huang and his team have expanded the frontiers of vaccine science, equipping fellow researchers with new knowledge to improve and refine future bacterial vaccines.
Carbohydrate hurdles
To develop a vaccine, researchers must identify an effective antigen. This is a substance or molecule that the body flags as foreign, helping to trigger an immune response and the creation of antibodies that will fight future infection.
While most vaccines rely on protein antigens, Huang is an expert in the chemistry and biology of carbohydrates. These are chemical compounds comprised of saccharides, or sugars.
Developing carbohydrates to use as antigens in vaccines comes with its own unique challenges and advantages.
“Sugar structures are very specific to certain bacteria,” Huang explained. “A vaccine that works against one bacterium might not work at all against another, even if they’re very similar.”
This is why a single dose of a bacterial vaccine can contain many different antigens. For instance, the “20” in Pfizer’s PREVNAR 20 pediatric pneumonia vaccine refers to the 20 unique strains of bacteria it protects against.
If researchers can develop an antigen that’s shared among many — if not all — bacteria, vaccination coverage would be greatly improved.
Gerald Pier, professor of medicine at Harvard Medical School and Brigham and Women’s Hospital and a collaborator on the latest MSU-led paper, has studied one such antigen candidate for years.
Polysaccharide poly-β-(1−6)-N-acetylglucosamine, or PNAG, is a carbohydrate found on the cell wall of staph, many other bacteria and even fungi. This prevalence makes it extremely useful, offering potential protection against numerous pathogens at once.
By examining PNAG as an antigen candidate for staph, Pier, Huang and their colleagues are unlocking the secrets needed to make a more effective vaccine.
A molecular mosaic
Imagine creating a mosaic made from multicolored tiles.
Arrange these tiles in a precise pattern and you’ll end up with a striking work of art. Move just a few tiles around, however, and you’ll find yourself looking at a very different image.
PNAG — and carbohydrates in general — are kind of like mosaics. There are myriad ways to arrange their individual pieces, but only a select few have the effects that researchers desire.
Just as changing a few tiles in a mosaic can give you a completely different image, swapping out these pieces or even changing their location within a PNAG molecule changes its performance as a potential antigen.
“We were very interested in this molecule and these different patterns,” Huang said.
“We wanted to know: Was there a best combination to improve Staph aureus vaccine efficiency, and does the arrangement matter?”
Like tiles in a mosaic, the individual pieces of PNAG are naturally arranged in unique patterns. Michigan State University researchers were searching for specific patterns that could improve the effectiveness of a staph vaccine. Credit: Raimond Klavins, via Unsplash.

The pieces that Huang and his colleagues were most interested in were biologically active molecular components known as amines and acetyl groups that adorn PNAG’s sugary backbone.
PNAG molecules can contain many amines. These amines can be acetylated, meaning they’re modified with an acetyl group, or they can be free and not bound to anything else.
Currently, most researchers investigating PNAG as an antigen focus on forms of the sugar that are either fully free or fully acetylated.
Huang and his colleagues believed there were promising opportunities in the understudied in-between space where there’s a mixture of free and acetylated amines.
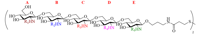
For its research, the team created a library of 32 different PNAG structures. The structures were all pentasaccharides — made from five saccharides — but they differed in how they were decorated with amines and acetyl groups.
By screening these 32 structures with antibody studies, they made their discovery.
“The fine pattern matters quite a bit,” Huang said. “And the impact is drastic.”
An MSU mutant
The team identified two PNAG combinations that were especially promising. Going a step further, the researchers attached them to a groundbreaking vaccine delivery platform.
The platform is based on a bacteriophage, which is a virus that infects bacteria, called Qbeta, also written as Qβ (pronounced “cue beta”). Huang’s team modified the bacteriophage, giving it the power to deliver antigens for carbohydrate-based pathogens.
PNAG and other carbohydrates typically don’t provoke strong immune responses in our bodies, but the mutant Qbeta, or mQβ, helps create an enhanced reaction.
This breakthrough delivery platform — which also has vaccine applications for cancer and even opioid addiction — earned Huang MSU’s 2024 Technology Transfer Achievement Award.
When coupled with mQβ, Huang and his collaborators found that the two most promising PNAG pentasaccharides offered high levels of protection in mice against staph and MRSA.
In animal studies, the team’s new vaccine construct outperformed another PNAG-vaccine delivery system that is currently in human trials.
The team also found their formulation had minimal impact on the biochemistry of the gut microbiome in tests.
As the team prepares for future tests of their new vaccine candidate, Huang is looking forward to the role bacterial vaccines will play in the larger fight against antibiotic resistance.
“Vaccines reduce the overall infection rate, which means there’s less of a need for antibiotics,” Huang said. “This reduces the chance for bacteria to develop resistance, breaking the cycle.
“The two go hand in hand.”
This story originally appeared on the College of Natural Science website.


