Scientists’ careers are defined by their contributions to peer reviewed literature. Yet, a recent Michigan State University study reveals that peer review disadvantages some scientists more than others, but solutions to rectify this disparity remain elusive.
Despite burgeoning cries for greater diversity, equity and inclusion in science, peer reviewed literature remains largely dominated by a handful of groups such as male authors from the United States and United Kingdom. While the reasons for this are multifaceted, the role that bias plays in peer review remains controversial.

MSU researchers analyzed data from more than 300,000 biological science manuscripts to see if the authors’ demographics mattered when it came to deciding if research was worthy of publication.
Their conclusions: Authors from historically excluded groups generally face worse peer review outcomes; few studies exist that examine how well interventions address peer review bias; and journals aren’t doing much to ensure an equitable review process.
“We were inspired to conduct the study after observing explicitly biased comments as co-authors and co-reviewers and experiencing seemingly worse peer review outcomes compared to colleagues that do not identify as members of historically excluded groups,” said Olivia Smith, the study’s lead author and an MSU Presidential Postdoctoral Fellow in Ecology, Evolution and Behavior in the Department of Integrative Biology.

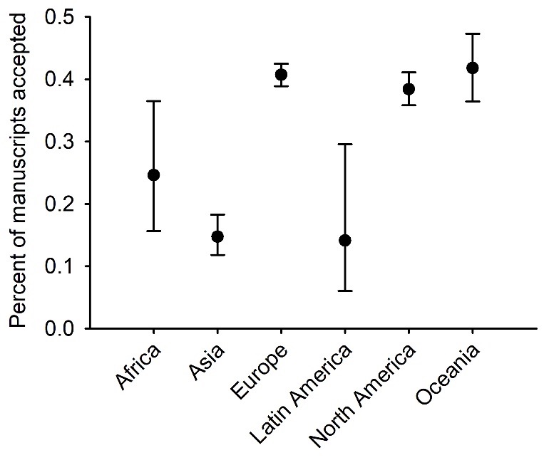
The study analyzed data from 31 prior studies to look for evidence of bias due to author demographics. The study found lower overall acceptance rates for authors who were affiliated with institutions in Asia, authors whose country’s primary language is not English and authors in countries with relatively low measures of social and economic development. Authors’ assumed gender also was linked to worse review outcomes.
The study’s researchers looked for solutions to reduce bias but found few studies with that focus despite the wide disparities they uncovered in the review system. The team only uncovered data on how diversity of reviewers and editorial boards and double-blind review — a process in which authors and reviewers remain anonymous to each other — impact review outcomes.
“Academics often self-identify as progressive and profoundly opposed to ethnic and gender discrimination. However, as a community, we have been extremely reticent to make the effort to introduce double-blind peer review,” said Tom Tregenza, professor of evolutionary ecology at the University of Exeter. Tregenza was not involved in the study and has published research on the peer review process. “With Smith et al.’s study, the jury is in — single-blind peer review is discriminatory and we’re not doing enough about it.”
“Double-blind review is far from perfect, but do we need another million data points to convince us that we can’t just keep limping on with a review system that assumes scientists are not subject to the biases that are so well established by their own research,” Tregenza asks.
The authors also examined policies that journals have in place for the peer review process, including peer review models and specific guidelines for authors and reviewers, particularly those addressing inappropriate comments toward non-native English speaking authors. They found that journals aren’t doing much to mitigate potential bias. For example, less than 16% of journals in ecology and evolutionary biology were using a double-blind review model at the time of the study. Further, only 2% had guidelines for peer reviewers that explicitly mentioned social justice issues.
Smith and colleagues further traced the locations of the journals and their editors-in-chief and found them to be concentrated in just a few parts of the world — the same areas that experience the best outcomes in peer review.
Despite the findings, the authors acknowledge their study’s limitations, including the fact that it is difficult to tell if a manuscript is rejected because of bias or because the work did not meet a journals’ standards.
Whether it is truly bias or disparate outcomes due to other factors, the study clearly shows that across hundreds of thousands of manuscripts, author demographics are a strong predictor of success in peer review — and that the system needs to change.
“Peer review is a central part of the scientific process and key to the advancement of scientists’ careers,” Smith said. “We hope our synthesis will prompt future studies to swiftly and fully document the extent of bias and identify effective solutions. We also hope that it will be a driving force for journals to adopt stronger policies for an equitable peer review system.”
The study is published in the journal Nature Ecology and Evolution.